嗨! 您好,欢迎来到科宜达商城!
登录
注册
找试剂
找耗材/设备
搜索
全部分类
高端化学
分析科学
生命科学
材料科学
通用耗材
防护用品
通用设备
分析设备
有机砌块
卤代烃
胺
苯酚
酮
酰卤
羧酸
醛
硝基和亚硝基化合物
酯
肼
有机磷/膦配体
胺盐
异氰酸酯
醇
单硫醚/硫醚
氨基醇
硫醇类/巯基化合物
烯烃
芳烃
氰化物/腈
肟
醚
缩醛/缩酮/原酸酯
磺酸/亚磺酸盐
羧酸酐
脲
酰胺/酰胺化合物
胍
硫脲
磺酰卤化物
硫氰酸盐/异硫氰酸盐
炔烃
羧酸盐
烷烃
环氧化物
酰肼
硫代羰基化合物
亚胺/脒/二酰亚胺
磺胺类药物/亚磺酰胺
叠氮/偶氮/重氮化合物
砜/亚砜类
硒化合物
砷化合物
腙
特殊合成
合成
离子液体
氟合成
化学生物学
化学连接
氨基酸衍生物
非天然氨基酸衍生物
多肽合成
多肽耦合
氨基保护
碳水化合物合成
聚乙二醇化修饰
寡核苷酸合成
固相多肽合成
有机金属试剂
硼酸及其衍生物
有机硅
格氏试剂
有机铝
有机铜
有机锡
有机锂
有机锗
有机铅
有机锌试剂
有机汞
合成试剂
螯合/络合化合物
氧化
C-X键形成
路易斯酸
有机酸
无机酸
无机盐
有机碱
相转移催化剂
耦合
还原
保护和衍生
键形成
C-X键形成(无卤素)
无机碱
脱水试剂
特种气体
催化和无机化学
钡
锇
镉
钕
铂
锡
锶
钪
铒
铁
镧
锑
钇
铱
钯
硅
碲
锆
铌
无机磷
钴
镍
铅
铜
镝
铕
镁
钠
锰
镱
钙
铋
铽
铝
硼
铬
钌
镥
锂
钼
汞
钾
钆
锌
铑
其他配体
钨
镨
银
金
铈
铯
钐
钛
镓
钽
铪
钬
砷
铟
铍
锗
铷
铼
铥
钒
N-杂环化合物
卟啉
金催化
铊
硒
杂环砌块
其它杂环
吡啶
噻吩
吡喃
嘧啶
吲哚
吗啉
吡唑
吡咯
咪唑
恶二唑
噻唑
恶唑
三嗪
嘌呤
哌嗪
喹啉
异恶唑
异喹啉
三唑
香豆素
哌啶
吡嗪
呋喃
哒嗪
咔唑
哌啶酮
奎宁
喹恶啉
吲唑
吖啶
四氮唑
苯并恶嗪
喹唑啉
噻二唑
苯并二氧六环
噻嗪
不对称合成
手性砌块
拆分试剂
手性助剂
手性催化剂,配体和试剂
稳定性同位素
核磁共振溶剂和试剂
保护性氨基酸
农业
气体
生物核磁共振
糖
脂肪酸
氨基酸(同位素)
类固醇和激素
标记生物活性物
乙酰辅酶A衍生物
香精香料
合成香料
天然认证产品
精油
气相色谱
吸附剂
分析试剂
色谱溶剂/CE试剂
常用分析试剂
衍生化试剂
光谱
滴定
特定用途试剂
指示剂溶液
杀菌剂和防腐剂
树脂与LC分离介质
分子筛,活性碳,助滤剂
硅胶
分析标准品
农残、兽药及化肥类
农业和环境标准品
有机标准溶液
酚类化合物标准品
物理性质
食品和饮料标准品
无机单元素标准溶液
生命科学标准品
气相色谱标准品(色标)
挥发性有机化合物(VOCs)
仪器检定/校准
容量分析滴定液
中药标准品
法医和兽医标准品
滴定标准品
具体方法
化学类
临床标准品
熔点标准品
多环芳烃(PAHs)
化妆品标准品
核材料和放射性标准物质
认证用标准物质
空气检测标准品
高分子标准品
离子传感器材料
离子传感器用塑化剂
高压液相色谱
HPLC溶剂
溶剂
苯
四氢呋喃
正己烷
醋酸乙酯
正庚烷
甲醇
丙酮
乙醇
异丙醇
二甲基亚砜
二甲基甲酰胺
氯仿
乙腈
二氯甲烷
色谱耗材
生物预装柱
生物活性小分子
DNA损伤
神经信号
G蛋白偶联受体&G蛋白
血管生成
代谢
PI3K/Akt/mTOR
蛋白酪氨酸激酶
表观遗传学
细胞凋亡
JAK/STAT
蛋白酶
细胞周期
膜转运/离子通道
内分泌与激素
MAPK
微生物Microbiology
TGF-beta/Smad
细胞骨架信号
干细胞与Wnt信号
NF-kB
其他
癌症研究
化学预防物质
致癌物质
抗肿瘤剂
血管再生
肿瘤生长调节
生化试剂
多肽
生物缓冲液
荧光探针,标记,颗粒和染色
酶与辅酶
碳水化合物
核苷,核苷酸,寡核苷酸
抗生素
变性剂
氨基酸
脂类
发光化合物
去垢剂
微粒
酶抑制剂
酶底物
密度梯度
蛋白质和衍生物
赋形剂,仅用于研究
螯合剂
细胞生物学
细胞信号和神经生物学
植物生物技术
植物组织培养
营养学研究
植物生化提取物
维生素
代谢组学
代谢途径
分子生物学
分子生物学试剂
核酸电泳
细胞培养
试剂和补充物
抗体
补充产品
碳水化合物(糖类)
单糖
多糖
微生物学
培养基成分
蛋白组学
蛋白质结构分析
蛋白电泳
翻译后修饰
质谱
蛋白质定量
血液学和组织学
染色剂和染料
替代能源
电解质
储氢材料
金属和陶瓷科学
晶体级无机物
氧化物
硫属化合物
陶瓷
盐
合金
金属
碳基材料
生物材料
生物相容陶瓷
交联剂
微米/纳米电子材料
电子化学品
气相沉积前驱体
自组装和接触印刷
溶液沉积前驱体
电子材料
有机和印刷电子学
OLED和PLED材料
印刷电子
基质和电极材料
光子和光学材料
合成工具和试剂
升华材料
液晶
OFET和OPV材料
高分子科学
单体
聚乙二醇修饰剂
聚合引发剂
聚乙二醇和聚氧化乙烯
塑料添加剂
导电聚合物和单体
硅酮
疏水性高分子
亲水性高分子
工程塑料
天然高分子
纳米材料
碳纳米材料
纳米粒子:金属和金属陶瓷
纳米粉末和粒子分散液
表面功能化纳米粒子
纳米粒子:氧化物、氮化物和其他
倍半硅氧烷:POSS纳米杂化材料
树状大分子
储存·管理·包装
试剂瓶
滴瓶
标本瓶
离心管
样品瓶
样品标签
标记笔
标识胶带
样品袋
薄膜/金属箔
称量·取样·加样
称量纸
称量瓶
称量盘
毛细管
采样杯
采样拭子
采样袋
药刮
药勺
铲子
镊子
巴氏吸管
胶头滴管
洗耳球
砝码
量具
烧杯
三角烧瓶
容量瓶
钢铁量瓶
量筒
量杯
容器·收纳·周转
搪瓷盘
不锈钢托盘
塑料收纳盒
喷壶
四氟容器
移液·分液
吸头·吸头盒
大肚移液管
刻度吸管
加样槽
移液管架
反应·连接·冷凝
试管
烧瓶
冷凝管·分馏柱
试管架
试管夹
烧瓶托
橡胶管
乳胶管
硅胶管
分馏头
接头
蒸馏器
夹子
分离·过滤·萃取
不锈钢筛子
尼龙滤网
滤纸
滤膜
针式过滤器
注射器
过滤器及配件
漏斗
砂芯过滤器
索氏提取器
脱脂棉
层析柱
加热·降温
酒精灯
石棉网
点火器
杜瓦瓶
温度计
消解·搅拌
搅拌子
玻璃棒
搅拌棒
消解管
研磨·金相
研钵
砂纸
抛光布
抛光粉
蒸发·干燥
坩埚
干燥器
蒸发皿
表面皿
结晶皿
密封·塞子
封口膜
反口胶塞
试管塞
硅胶塞
橡胶塞
玻璃塞
清洗·收集·回收
塑料洗瓶
刷子
废液桶
酸缸/碱缸
工具类耗材
未分类通用耗材
头部防护
安全帽
布帽 头套
耳塞 耳罩
防护眼镜
防护屏
口罩
防毒面罩
呼吸器
呼吸防护配件
手部防护
乳胶手套
丁晴手套
PVC手套
聚乙烯手套
线手套
防火隔热手套
防化手套
防割手套
低温防护手套
绝缘手套
手套箱手套
指套
身体防护
实验大褂
防化服
医用防护服
防辐射服
隔热服/阻燃服
袖套
围裙
无尘衣
安全带
足部防护
防火 防灾
无尘环境·防静电用品
实验天平
分析天平
精密天平
实验箱体
鼓风干燥箱
真空干燥箱
搅拌混匀
磁力搅拌器
涡旋混匀器
研磨机
分离浓缩
离心机
冻干机
清洗消毒
灭菌器
超声波清洗器
电炉真空泵
万用电炉
封闭电炉
箱式电阻炉 马弗炉
管式炉
真空泵
恒温器
水浴锅
油浴锅
液氮罐
低温冰箱
电热套
恒温磁力搅拌器
电热板
电热恒温水槽 水箱
低温反应浴
样品处理
纯水气体制备
水质分析
pH计 酸度计
电导率仪
离子计
滴定仪
环境分析
红外测温仪
测氧仪
照度计
温湿度计
光学分析
色谱层析
气相色谱仪
物性测试
首页
品牌中心
批量订购
当前位置:
首页
此分类下共有
108
条信息
869653-90-7
HEGA-9
98064-96-1
十六烷基-β-D-麦芽糖苷
870287-95-9
己基-β-D-麦芽糖苷
5168-89-8
六聚乙二醇单癸醚
4440-54-4
Hexaethylene Glycol Monooctyl Ether
85618-20-8
庚基-β-d-硫代吡喃葡萄糖苷
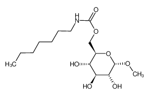
115457-83-5
6-O-(N-庚甲酰)-甲基-α-D-葡萄糖苷
9016-45-9
壬基酚聚氧乙烯醚(NP-40)
106402-05-5
壬基-β-D-麦芽糖苷
3055-99-0
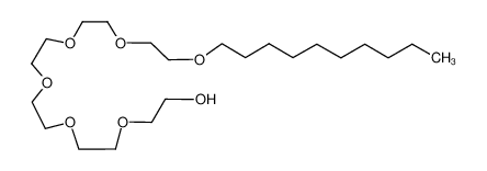
聚醚醇
98854-15-0
正壬基 β-D-硫代吡喃葡萄糖苷
148565-55-3
Nonyl-β-D-1-thiomaltoside
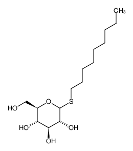
85618-21-9
辛基-β-D-硫代吡喃葡萄糖苷
40427-75-6
Octyl β-D-galactopyranoside
129522-81-2
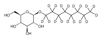
n-Octyl-d17-β-D-Glucopyranoside
869666-57-9
n-Octyl-d17-β-D-Glucopyranoside-d7
82494-08-4
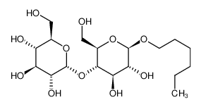
正辛基-β-d-麦芽糖苷
148616-91-5
Octyl β-D-1-thiomaltoside
869668-28-0
2-Propyl-1-Pentyl-β-D-Maltopyranoside
23244-49-7
五聚乙二醇单癸醚
19327-40-3
正辛基戊氧基乙烯炔
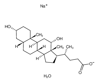
145224-92-6
脱氧胆酸钠,一水合物
207233-91-8
2,3-二巯基丙磺酸钠盐(DMPS)
4076-02-2
2,3-二巯基丙磺酸钠
上一页
1
2
3
4
5
下一页
加载中...
×
用户登录
邮箱:
密码:
提交
没有账户?点此注册
忘记密码?